| 微波动态循环阶段连续逆流提取二氢杨梅素 |
| 发布时间:2010-10-15 信息来源:admin 发布人:admin 点击次数:6080 |
李 卫 1,2 ,郑 成3,宁正祥1 ( 1华南理工大学轻工与食品学院,广东广州510640;2 湖北工业大学化学与环境工程学院,湖北武汉430068;3广州大学化学化工学院,广东广州510091) 关键词;微波提取;动态循环阶段连续逆流提取;二氢杨梅素;藤茶;动力学模型 引 言 微波提取是一项新型的中药有效成分提取技术,具有加热速度快、能耗低、提取效率高等优点[1,3] .动态循环阶段连续逆流提取是一种增大传质推动力、提高提取效率的提取技术[4].它是将多个提取单元科学组合,使单位时间内固液两相保持较高的浓度差,从而提高提取效率. 藤茶是中国古老的茶类资源和中草药资源. 二氢杨梅素(dihydromyricetin,DMY)是藤茶的主要成分,具有多种生理功效,在藤茶中的含量高达3O%左右 [5]. 本研究采用具有精密控温、控制加热功率和时间的美国CEM公司生产的MARS5微波装置,利用其一次可进行多罐提取的特点,将微波提取与动态循环阶段连续逆流提取有效结合起来,即采用微波动态循环阶段连续逆流提取(microwave dynamic multi stage countercurrent extraction.MDMCE)技术提取藤茶中的二氢杨梅素. 1 材料与方法 1.1 仪器与材料 MARS5微波加速反应装置(美国CEM 公司生产);100 ml聚四氟乙烯密闭提取罐;TSP一2oooA高效液相色谱仪(美国热电公司生产);藤茶(福建武夷山,粉碎并过筛后颗粒大小约为0.45 mm);二氢杨梅素标准品(广东省果蔬深加工重点实验室提供). 1.2 HPLC分析条件 色谱柱为Kromasil 5 m Cl8反相柱(250 mm×4.6O mm);流动相: 甲醇:水:乙酸一38:62;0.1(体积比),流速1.5 ml·rain_。,检测波长291 nm,柱温35℃. 1.3 MDMCE操作方法 [4,6] MDMCE操作方法根据文献[4,6]分为建立梯度和5阶段MDMCE两个步骤. (1)建立梯度 在5个罐(编号为1 ~5 )中按一定比例加入相同质量的藤茶和相同体积的水,1 ~5 在设定条件下分别用微波提取不同时间(0.2t、0.4t、0.6t、0.8、0 min,其中t为每个罐中藤茶的总提取时间,即一个5阶段MDMCE循环时问).提取完毕后罐中渣不动,1 罐与3 罐中的提取液互换,4 罐与5 罐中的提取液互换,2 罐中的提取液不动. (2)5阶段MDMCE 将上述已交换提取液的5个罐同时放人微波提取装置中,于一定条件下提取0.2t后罐中渣不动,不饱和提取液的迁移按有效成分含量递减的反方向迁移至隔一个的单元(例如,第1阶段提取完毕后不饱和提取液迁移方向为:1 罐一4 罐,2 罐一5 罐,3 罐一1 罐,4 罐一2 罐,第2~第5阶段依此类推). 在第1、第2、第3、第4、第5阶段,加入新鲜藤茶的罐分别为5 、4 、3 、2 、1 ,加入新鲜水的罐分别为4 、3 、2 、1 、5 .加新鲜藤茶的罐提取÷r后提取液集中收集,加新鲜水的罐提取÷r后渣排掉. 1.4 微波静态间歇提取(microwave static batch extraction, M SBE) 用5个装有相同质量新鲜藤茶和相同体积水的提取罐在微波提取装置中同时提取(藤茶与水的料液比与5阶段MDMCE相同,所用原料量及水量与5阶段MDMCE相同),提取时间为t. 其他条件与5阶段MDMCE一致. 2 结果与讨论 2.1 MDMCE与MSBE比较 MDMCE提取条件:提取温度9O℃ ,料液比1:2O(每罐藤茶3 g,提取剂60 m1),中速搅拌,微波功率600 W,一个5阶段MDMCE循环提取时间为5 min (每阶段提取时间1 min). 表1为1 ~5 罐在第5阶段提取前后固液相中二氢杨梅素浓度变化情况(每罐提取时间均为1 rain). MSBE提取条件:提取时间为5 min,其他条件与上述5阶段MDMCE提取条件相同,结果如图1所示.
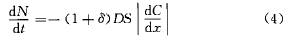
从上述图表中的实验数据可以看出,MDMCE在每分钟提取时间内的初始固液相浓度差比所对应的MSBE大(尽管MSBE在第1分钟时的初始固液相浓度差比MDMCE大,但在第2分钟时其初始固液相浓度差比对应的MDMCE小很多). 证明采用MDMCE可以使单位时间内固液两相保持较高的浓度差,即MDMCE的提取推动力比MSBE大.经实验得出,在上述条件下MDMCE 的提取率为71.3 ,而对应的MSBE提取率为52.0 .所以,在相同原料量、相同提取剂用量及相同提取条件下,MDMCE比MSBE提取效率要高. 2.2 MDMCE正交实验结果 经分析,选取提取时间、提取温度、料液比及微波功率作为5阶段MDMCE工艺条件的考察因子. 每因子选取3个水平. 正交实验安排及结果见表2.从正交实验结果可以得出,5阶段MDMCE提取二氢杨梅素的最佳条件为:提取时间10 min(每阶段2 min),提取温度110℃ ,料液比1:30(每罐藤茶2 g,提取剂60 m1),微波功率600 W.在此最佳提取条件下MDMCE的提取率为92.2 ,排出渣中二氢杨梅素百分含量为3.1 oA.在此条件下所对应的MSBE提取率为67.4 ,排出渣中二氢杨梅素百分含量为13.0 . 2.3 动力学模型初步探讨 根据文献关于中草药提取过程机制[7],藤茶中二氢杨梅素的提取过程可分3个步骤:第一步,水分子向藤茶基体内部渗透;第二步,二氢杨梅素溶解在水中;第三步,二氢杨梅素扩散迁移到溶剂主体.为简化模型,提出如下假设:藤茶粒度大小均匀;水分子向藤茶内部渗透速度很快,并且是均匀渗透;开始H,-t~氢杨梅素在藤茶中分布是均匀的;整个提取过程溶剂无体积变化;二氢杨梅素在水中的溶解速率远大于扩散速率.从以上假设可知,本提取过程的速率由第三步决定,即二氢杨梅素扩散迁移到溶剂主体是提取速率的控制步骤.根据Fick扩散定律,在无外场作用时扩散速率方程可表示为
D是浓度和温度的函数,可表示为[8]
在提取过程中溶质的浓度梯度在不断减小,其变化趋势可表示为[7]
由于微波场的存在增强了扩散作用,式(1)可修改为
设t时刻 其中
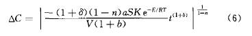
对式(6)取对数得
其中 式(7)即为MDMCE的动力学数学模型.在2.2得出的最佳MDMCE 工艺条件下,测定MDMCE每一阶段各罐在不同提取时间的AC,取平均值,对t和AC取对数值,结果如图2(时间单位为秒)所示.
3 结 论 (1)将动态循环阶段连续逆流提取技术用于微波提取过程.可以克服微波静态间歇提取时原料与溶剂中有效成分在接近平衡时浓度差小的不足,有效提高提取效率.本研究表明:与MSBE相比,采用MDMCE技术可以使固液相中二氢杨梅素的浓度差在单位时间内保持较高水平. (2)通过5阶段MDMCE正交实验,得出最佳提取条件:提取时间10 min(每阶段2 min),提取温度110℃ ,料液比1:30(每罐藤茶2 g,提取剂60 m1),微波功率600 W. (3)本文建立了MDMCE单罐的半经验动力学模型,通过实验数据拟合,决定了在最佳提取条件下的相关参数,为MDMCE技术的实际应用提供了具有一定指导作用的信息. 符 号 说 明 n——溶质浓度梯度随时问的变化常数 6——幂指数 c—— t时刻的溶质浓度,mol·ml-1 C1——各罐提取1 rain后液相中DMY 浓度,mg ·m l-1 C.—— 各罐液相中DMY的起始浓度,mg·ml Co ——开始时的溶质浓度,mol·ml D—— 扩散系数,cm2·s-1 E——扩散活化能,J K——总系数 k ,k ,k。—— 分别为水平1、2、3时的提取率之和 N—— 溶质的量,mol N——幂指数 R——摩尔气体常数,J·K-1·mol-1 R—— 极差 S—— 固液界面面积,cm2 t—— 时间,s V—— 提取液体积,ml w—— 各罐提取1 min后固相中DMY的质量分数 w。—— 各罐固相中DMY 的起始质量分数 α—— 溶质扩散距离,cm β一微波场引起的扩散增强系数 τ一一1个MDMCE循环时间,min References [1] Marie E Lucchesi,Farid Chemat.Jacquehne Smadia.so[vent—free microwave extraction of essential oil from aror~latic herbs:comparison with conventional hydro-distillation. Journal of Chromatography A ,2004,1043:323—327 [2] Huang Ruihua (黄瑞华),Han Wei(韩伟),Zhou Yongchuan(周永传),Deng Xiu (邓修)。Numerical simulation on heat and mass co-transfer during microwave-assisted water extfaction of icariin from epimedii leave。Journal of Chemical Industry and Engineering (China)(化工学报),2005,56(7):1300 1304 [3] Hao Jinyu,Han Wei,Huang Shunde,Xue Boyong,Deng Xiu。Microwave-assiated extraction of artemisinin from Artemisia annuzl L Separation and Purlfication Technology,2002,28:19l一196 [4] Xie Xiuqiong(谢秀琼)。The Modern Technology for Chinese Traditional Medicine (现代中药制剂新技术), Beijlng:Chemical Industry Press,2004: 1 4-23 [5] He Guixia(何桂霞),Pei Gang(裴刚),Yang wem (杨伟丽),U Bin (李斌)。Determination of dihydromyricetin in different parts of Ampelopsis grossedentata in different seasons by HPLC.Chinese nditionaZ Patent Medicine(中成药),2004,26(3):21O一2l2 [6] Wang Qiao e,Ma Shaomel,Fu Boqiang,Frank S C Lee,Wang Xiaoru。Development of multi-stage countercurrent extraction technology for the extraction of g[ycyrrhizle acid (GA) from licorice(Glycyrrhi~a uralensis Fisch)。Biochemical Engineering Journal,2004,21 1 285-292 [7]Chu Maoquan(储茂全)。Gu Hongchen(古宏晨),Liu Guojie (刘国杰)。Kinetic model on medicinal herb extraction process.Chinese Tranditional and Herbal Drugs (中草药),2000,31(7):504 506 [8]Huang Kelong (黄可龙),Li Jinfei(李进飞),Liu Suqin(刘素鬈). Kinetic model Ior ultrasonic enhancement of extraction process of Chinese traditional medicine. Journal of Chemical Industry and Engineering (CTdna)(化工学报)·2004,55(4):646—648 产品链接: 杜仲提取物 绿原酸 金银花提取物 苦杏仁苷 枇杷叶提取物-熊果酸 大花紫薇提取物-科罗索酸 上禾生物 专注植提 精于高纯 基于您对天然产物需求持续创新 |





微波动态循环阶段连续逆流提取二氢杨梅素 




